Zarys treści: W lipcu 2003 roku wykonano serię pomiarów geodezyjnych lodowca Waldemara precyzyjną metodą GPS za pomocą dwóch kompletów urządzeń pomiarowych Leica Typ SR 9500. Na ich podstawie oraz z analizy map topograficznych określono średnie obniżenie lodowca Waldemara na linii głównego profilu podłużnego, a także wielkość recesji czoła lodowca. Przedstawiono szczegółowy opis zastosowanej metody
Słowa kluczowe: GPS, Svalbard, lodowce, recesja.
Jedną z najczęściej współcześnie stosowanych metod w badaniach glacjologicznych są pomiary z zastosowaniem technik GPS. Są one szeroko stosowane przede wszystkim w kartowaniu lodowców i ich przedpola, a także w badaniach zmian ich powierzchni i objętości. Pozwalają na szybkie określenie lokalizacji punktów, obiektów i obszarów pomiarowych. W lipcu 2003 roku wykonano serię pomiarów geodezyjnych lodowca Waldemara precyzyjną metodą GPS. Urząd Wojewódzki w Detmold Wydział Pomiarów Kraju i Ewidencji Katastralnej (Bezirksregierung Detmold Dezernat für Landesvermessung und Liegenschaftskataster - Niemcy) udostępnił na czas trwania ekspedycji na Spitsbergenie nieodpłatnie dwa komplety urządzeń pomiarowych Leica Typ SR 9500. Przyrządy te, przy zastosowaniu dynamicznej korekcji pomiaru, umożliwiają osiągniecie następujących dokładności: w zakresie współrzędnych płaskich X Y < 2-3 cm, wysokości H < 6 cm. Błędy wykonanych pomiarów, przy założonej maksymalnej tolerancji ± 2 cm, nie przekroczyły w praktyce 3 mm w poziomie i 10 mm w pionie. Próbkę surowych wyników przedstawiono w tabeli 1. Jest to niewielki, początkowy fragment oryginalnego protokołu pomiarowego, odczytanego bezpośrednio z przyrządów za pomocą standartowego programu RT-Ski firmy Leica.

Problem poprawnej delimitacji zasięgu rozwiązano przez optyczne zróżnicowanie obszarów odkrytego lodowca od jego części przykrytych moreną, wyraźnie zakończonych krawędzią, czy odciętych łożyskiem potoku odwadniającego. Kryterium optyczne pozwoliło na jednoznaczne przeprowadzenie linii pomiarowej (rys. 1). W pełni świadomie nie uwzględniono znacznych połaci lodu “zamaskowanego” moreną, po części zasilanego jeszcze lub tylko połączonego z jego częścią aktywną.
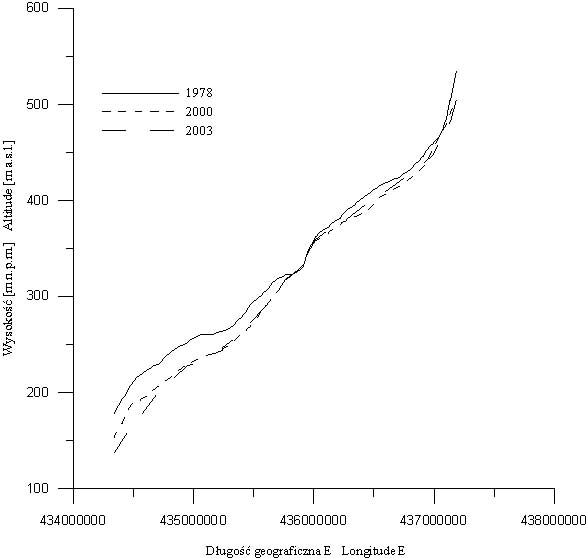
Punkty pomiarowe dobierano uwzględniając relief powierzchni. Dodatkowo wykonano profil podłużny całego ciągu głównego lodowca Waldemara, wzdłuż wybranych tyczek ablacyjnych (rys. 2). Są to jedyne “zamarkowane” punkty pomiarowe. Ich dalsze precyzyjne obserwacje GPS pozwolą skorelować i wesprzeć prowadzony monitoring bilansu masy.

Pomiary wykonano w układzie WGS 84 w oparciu o siatkę kartograficzną UTM 33 Strefy. Zastosowano technikę “Stop and Go”, wychodząc ze znanego punktu referencyjnego, położonego na przedpolu lodowca Waldemara, o współrzędnych:
X = 434130.000 m Y = 8735541.000 m, H=144.100 m
Dla celów pomiarowych martwej części lodowca przeniesiono punkt referencyjny na morenę środkową, wykorzystując istniejący, oznakowany punkt topograficzny. Jego współrzędne skorygowano do wyżej wymienionego wyjściowego punktu referencyjnego. Profil podłużny wymagał aż 3 takich punktów, które skorygowano tą samą metodą.
Otrzymany w ten sposób pakiet danych udokumentował przestrzennie stan powierzchni badanej w lipcu 2003 roku. Sesję pomiarową można będzie w każdym czasie rozszerzyć, a zdefiniowane punkty na podstawie współrzędnych płaskich (XY), za pomocą GPS łatwo odnaleźć. Różnica współrzędnych wysokościowych (H) zadanych punktów wyznaczy dynamikę zmian objętościowych.

Od czasu maksymalnego nasunięcia lodowców Kaffioyry w XIX wieku ich powierzchnia zmniejszyła się średnio o około 27 %. Natomiast powierzchnia lodowca Waldemara o około 19 % do roku 1995 (Lankauf 2002). Z krótkiej charakterystyki rozwoju zasięgu Waldemara wynika, że swoje maksimum osiągnął na początku XX wieku. W latach 40-tych lodowce Kaffioyry przyspieszyły recesję.
W tym czasie lodowiec Waldemara nadal charakteryzował się jej najmniejszym tempem. Od roku 1985 nastąpiło powszechne przyśpieszenie tempa recesji. Nie bez znaczenia było tu cofnięcie się lodowca na próg skalny, gdzie lód prawdopodobnie posiada najmniejszą miąższość. Z analizy przeprowadzonej przez Lankaufa (2002) wynika, że na przestrzeni wielolecia występowało obniżanie powierzchni partii cyrkowej. W związku z tym należy sądzić, że lodowiec Waldemara charakteryzuje się ujemnym bilansem masy w wieloleciu, co potwierdzają badania terenowe i wyniki innych metod pośrednich (Sobota 2000).

Na podstawie wykonanych pomiarów latem 2003 roku oraz analizy map topograficznych (Lankauf 2002) stwierdzono, że średnie obniżenie lodowca Waldemara na linii głównego profilu podłużnego (rys. 2) wyniosło w latach 2000-2003 średnio 1 m. Największe obniżenie miało miejsce do wysokości około 300 m n.p.m., co pokrywa się w dużym stopniu z wysokością położenia linii rocznej równowagi (ELA) na lodowcu. Wykazuje to dużą zgodność z wynikami prowadzonych badań nad bilansem masy tego lodowca (Sobota 2002, 2003, ibidem). Recesja czoła głównej części lodowca wyniosła w tym czasie średnio 30 m, a maksymalnie 77 m (rys. 3, 4).
Ubytek powierzchni lodowca Waldemara oszacowano na 0,039 km2 (1,4 %).
Profil podłużny, oprócz funkcji syntezy przebiegu głównego ciągu lodowca Waldemara, ma na celu określenie kinematyki wybranych („zamarkowanych”) punktów monitorowanych, leżących na tej linii. Stanowi on zatem bazę do dalszych, precyzyjnych pomiarów, które uściśla zarówno rozmiary ruchu poziomego (współrzędne XY) jak i ablacji (H) na całej jego długości. Umożliwi to wykonanie porównawczych pomiarów w latach następnych.
Literatura:
Lankauf K. R., 2002, Recesja lodowców rejonu Kaffioyry (Ziemi Oskara II-Spitsbergen) w XX wieku. Prace Geograficzne, 183: 0-221.
Sobota I., 2000, Selected cartographic and remote sensing methods in the estimation of mass balance and volume changes of the Waldemar Glacier. Polish Polar Studies, XXVII Polar Symposium, Toruń, 385-386.
Sobota I., 2002, Bilans masy lodowca Waldemara w latach 1996-2001. [w] Funkcjonowanie i monitoring geoekosystemów obszarów polarnych, Materiały konferencyjne XXVIII MSP, Poznań, 87-90.
Sobota I., 2003, Bilans masy lodowca Waldemara i lodowca Ireny (NW Spitsbergen) w 2002 roku.. [w:] The Functioning of Polar Ecosystems as Viewed Against Global Environmental Changes, Kraków, 251-254.