Badania struktury bilansu masy dotyczą lodowca Waldemara i lodowca Ireny zlokalizowanych na Równinie Kaffioyra, na północno-zachodnim Spitsbergenie. Dane dotyczące struktury bilansu masy lodowca Waldemara uzyskano na podstawie bezpośrednich pomiarów terenowych prowadzonych w latach 1996-2003 (Sobota, 1998, 1999, 2000a, 2000b, 2000c, 2001, 2002a, 2000b; Grześ, Sobota, 2000). Badania te są nadal kontynuowane. Z kolei badania bilansu masy lodowca Ireny prowadzone były w latach 2001-2003. Badania te były prowadzone przez uczestników organizowanych w tym czasie wypraw polarnych Uniwersytetu Mikołaja Kopernika w Toruniu w ramach grantów JM Rektora UMK 503-G i 509-G: „Struktura i dynamika bilansu masy lodowców północno-zachodniego Spitsbergenu w warunkach zmieniającego się klimatu”. Równolegle prowadzone były pomiary geodezyjno-kartograficzne (Lankauf, 2002). Od roku 2003 wyniki badań bilansu masy lodowca Waldemara przedstawiane są w Biuletynie Bilansu Masy Lodowców (Glacier Mass Balance Bulletin) wydawanym przez IAHS(ICSI)/UNEP/UNESCO w ramach WGMS (World Galcier Monitoring Service), w którym przedstawiane są dane dotyczące kilkunastu lodowców świata objętych systematycznymi badaniami bilansu.
Głównym źródłem informacji na temat wielkości bilansu masy lodowców Spitsbergenu jest Glacier Mass Balance Bulletin (Haeberli, Herren, 1991; Haeberli, Herren, Hoelzle, 1993; Haeberli, Hoelzle, Bösch, 1994; Haeberli, Hoelzle, Suter, 1996; Haeberli, Hoelzle, Frauenfelder, 1999; Haeberli, Hoelzle, Frauenfelder, 2001; Haeberli, Hoelzle, Frauenfelder, 2004), w którym przedstawiane są dane dotyczące kilkunastu lodowców świata objętych systematycznymi badaniami bilansu. Ponadto istnieje wiele publikacji opisujących bilans masy lodowców poszczególnych regionów archipelagu, kilka prac o charakterze zestawiającym oraz niepublikowane raporty. Szczególnie ważna jest tu praca Jani, Hagena (1996), a także dane zamieszczane w Internecie. W wielu przypadkach dane są niekompletne, szczególnie jeśli chodzi o bilans letni i zimowy. Dlatego dokonano również analizy wielkości składników bilansowych w różnych okresach dla poszczególnych lodowców. Celem analizy jest również synteza wszystkich danych związanych z bilansem masy lodowców Spitsbergenu, który stanowi jeden z ważniejszych wskaźników współczesnych zmian klimatu.
Do oceny bilansu masy lodowca Waldemara i Ireny zastosowano metodę bezpośrednich pomiarów, opartych o sieć tyczek. Jest to najdokładniejsza i najczęściej stosowana metoda (Meier i in. 1971, Ostrem, Brugman 1991). Na lodowcu Waldemara zamontowano 30 tyczek. W odniesieniu do powierzchni lodowca jest to duża ilość. Daje to bowiem około 11 tyczek na 1 km2. Na lodowcu Ireny znajduje się 10 tyczek. Wartości poszczególnych elementów bilansu wyrażono w cm ekwiwalentu wodnego (cm e.w.). Pomiary ablacji wykonywano co pięć dni. W celu uzyskania wartości całkowitej ablacji dokonywano weryfikacji pomiarów w okresie wiosennym poprzedzającym dany sezon. Sondowania głębokości śniegu w okresie z pokrywą śnieżną wykonywano w około 150 punktach, co dało bardzo dokładny obraz zróżnicowania przestrzennego zimowej akumulacji śniegu. Badania bilansu letniego i zimowego pozwoliły określić bilans masy netto badanych lodowców w analizowanym okresie.
Średni roczny bilans masy lodowca Waldemara (NW Spitsbergen) w latach 1996-2003 wyniósł –0,52 m e.w.. Pozytywna wartość wystąpiła jedynie w roku bilansowym 1996 i wyniosła +0,02 m e.w.. Była ona spowodowana przede wszystkim dużą zimową akumulacją śniegu, która była najwyższa w całym analizowanym okresie. Również w roku 2002 akumulacja śniegu była duża, ale wyższa od przeciętnej ablacja letnia, spowodowała, że bilans masy w tym roku był wyraźnie ujemny (-0,51 m e.w.). W pozostałych latach decydującą rolę w ukształtowaniu wielkości bilansu masy odegrały warunki pogodowe panujące w okresie letnim. Średni roczny bilans masy lodowca Ireny w latach 2002-2003 wyniósł –0,62 m e.w.. Zdecydowany wpływ na wielkość bilansu masy tego lodowca miała ablacja letnia.
Bilans masy lodowca Waldemara w poszczególnych latach kształtowany był przez różne czynniki i w różnym stopniu przez wielkość bilansu letniego i zimowego. W roku 1996 i 2002 najważniejszą rolę odegrała wielkość bilansu zimowego, w roku 1997, 1999 i 2000 wpływ wielkości bilansu zimowego i letniego był podobny (Sobota, 2002), a w roku 1998, 2001 i 2003 zdecydowane znaczenie miała ablacja w sezonie letnim. Wynika z tego, że nawet w przypadku tak niewielkiego lodowca, udział poszczególnych składowych bilansu, może w różnych latach być zdecydowanie odmienny. W roku 2002 wartość bilansu masy była najbardziej zbliżona do średniej wieloletniej (Sobota, 2003a, 2003b). Największe różnice wartości bilansu w porównaniu do średniej wieloletniej wystąpiły w latach: 1996, 1998, 2001 i 2003. Były to sezony o odmiennych warunkach pogodowych, charakteryzujące się dużą zimową akumulacją śniegu lub podwyższona temperaturą powietrza w okresie letnim. Skumulowana wielkość bilansu lodowca Waldemara wyniosła w tym okresie –4,17 m e.w.. W strefie czołowej wartość ta osiągnęła –7,69 m e.w., a na obszarze pola akumulacyjnego +0,53 m e.w..

Przestrzenna zmienność bilansu masy lodowca Waldemara i lodowca Ireny kształtowana jest przede wszystkim przez warunki pogodowe w danej części lodowca oraz lokalne uwarunkowania morfologiczne. Powierzchnię lodowców można na ogół podzielić na część o negatywnym bilansie masy i część z bilansem pozytywnym. W przypadku lodowca Waldemara wyjątkiem był rok 1998, kiedy cały obszar lodowca posiadał bilans ujemny. Z kolei lodowiec Ireny charakteryzuje się bardziej dodatnim bilansem masy w dwóch częściach akumulacyjnych. Wynika to z faktu, że są one położone wyżej, aniżeli w przypadku lodowca Waldemara.
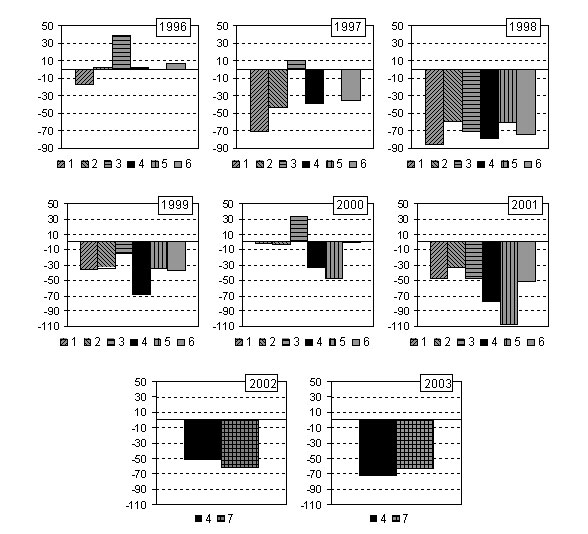
Średnią wysokość położenia linii rocznej równowagi na lodowcu Waldemara (ELA) w latach 1996-2003 oszacowano na 389 m n.p.m., natomiast na lodowcu Ireny w latach 2001-2003 wysokość ta wyniosła 400 m n.p.m. (rys. 1).
Średnie wartości bilansu masy lodowca Waldemara w okresie 1996-2003 (–0,52 m e.w) i lodowca Ireny (-0,62 m) można uznać za reprezentatywne dla niewielkich dolinnych lodowców północno-zachodniej części Spitsbergenu. Przemawiają za tym otrzymane wartości bilansu letniego i zimowego tych lodowców. Należy również podkreślić, że bilans masy lodowca Waldemara w latach 2002-2003 wyniósł 0,62 m e.w., czyli tyle samo, co w przypadku lodowca Ireny.
Monitoringiem bilansu masy na obszarze Spitsbergenu objętych jest lub było kilkanaście lodowców. Serie pomiarowe dłuższe od 1 roku posiada 17 lodowców Spitsbergenu (rys. 2): Finsterwalder, Austre Brogger, Midre Loven, Kongsvegen, Bertil, Longyear, Daud, Voring, Gronfjord, Fridtjov, Nordenskiold, Hans, Werenskiold, Irena oraz Waldemar. Dla większości tych lodowców poszczególne składowe bilansowe mierzone były standardowymi metodami glacjologicznymi. W niektórych przypadkach bilans masy dla całego lodowca określano na podstawie wielkości współczynnika powierzchni akumulacji AAR (Lefauconnier i in., 1999), a także w oparciu o zależności z wybranymi elementami klimatycznymi (Hagen, Liestol, 1987). Na uwagę zwraca fakt, że większość badanych lodowców posiada małe powierzchnie od 2 do 6 km2. Na dużych lodowcach, takich jak na przykład Nordenskiold (242 km2) badania prowadzono sporadycznie. Większość z nich położona jest poniżej 500 m n.p.m..
W okresie 1950-1966 badania bilansu masy prowadzone były na lodowcu Finsterwaldera. W roku 1966 rozpoczęte zostały badania w rejonie Kongsfjordu na lodowcach Austre Brogger, a rok później na lodowcu Midre Loven. Badania te są prowadzone do dnia dzisiejszego. W latach 1966-1991 badania rocznego bilansu masy na lodowcu Voring w Gronfjorden prowadzili Rosjanie. Dla innych spośród wymienionych lodowców istnieją krótsze serie pomiarowe: Bogger 1975-1986, Bertil 1975-1985, Longyear 1977-1982, Daud 1976-1983, Vestre Gronfjord 1988-1991, Austre Gronfjord 1986-1991, Fridtjov 1987-1991, Kongsvegen 1987-dziś.
W istotny sposób zakres badań nad bilansem masy lodowców Spitsbergenu poszerzają badania prowadzone nad lodowcem Hansa, które rozpoczęto w 1989 roku. Niektóre elementy ablacji i akumulacji śniegu były także przedmiotem badań UMCS na obszarze południowego obrzeżenia Bellsundu. Dotyczyły one głównie lodowca Renarda i Scotta (Piasecki, 1988; Bartoszewski, 1998). W 1996 roku do badań bilansu masy włączony został lodowiec Waldemara, a w roku 2001 lodowiec Ireny.
Lodowiec Finsterwalder o powierzchni 44,5 km2, położony w rejonie Van Keulenfjord charakteryzował się wyraźnie ujemnym bilansem masy netto w okresie 1950-1968. Średni roczny bilans jego masy wyniósł –25,0 cm e.w.. Stwierdzono także okresy kiedy był on dodatni: 1952-54 (+5 cm e.w.) i 1956-58 (+20 cm e.w.). Innym lodowcem posiadającym dłuższą serię pomiarową jest Voring, zlokalizowany na południowych obrzeżach Isfjordu w Gronfjordzie. Ten niewielki lodowiec (2,1 km2) w okresie 1974-1991 odznaczał się zdecydowanie ujemnym bilansem masy netto. Średni bilans masy tego lodowca w tym okresie wyniósł –64 cm e.w.. W tym samym rejonie prowadzone były badania na lodowcu Gronfjord (38,3 km2), który dzieli się na Vestre Gronfjord i Austre Gronfjord. Ich średnia ablacja letnia wyniosła około 120 cm e.w., a bilans zimowy 80 cm e.w.. W ciągu czterech lat Vestre Gronfjord utracił około 160 cm masy w ekwiwalencie wodnym, przy średnim bilansie netto –40 cm e.w.. Natomiast bilans masy netto Austre Gronfjord w ciągu 6 lat wyniósł –63 cm e.w..

Na Ziemi Nordenskiolda prowadzono badania bilansu masy lodowca Fridtjov (48,7 km2). Jest to lodowiec uchodzący do morza, do Van Mijenfjordu. Jego średnia zimowa akumulacja w okresie 1987-1991 wyniosła 74 cm e.w., a ablacja 106 cm e.w.. Bilans masy pozytywny odnotowano jedynie w 1991 roku (+5 cm e.w.).
Dane dotyczące poszczególnych elementów bilansowych za okres 1977-1982 posiada lodowiec Longyear (4,0 km2). Jego bilans zimowy w tym okresie wyniósł 48 cm e.w., a bilans letni –103,0 cm e.w.. Średni bilans masy wyniósł –55 cm e.w.. W latach 1975-1986 ujemny bilans masy netto posiadał również lodowiec Bogger (średnio –43 cm e.w.). Najwięcej lodu ubyło w roku 1984, –61 cm e.w., z kolei dodatni bilans odnotowano tylko w roku 1982 i wyniósł on +25 cm e.w.. Zimowa akumulacja śniegu w poszczególnych latach była zbliżona i średnio wyniosła 52 cm e.w.. W podobnym okresie prowadzono badania na lodowcu Bertil (1977-1985). Jego bilans był o 25 cm niższy (-67 cm e.w.).
Najbardziej wysuniętym na wschód lodowcem, dla którego istnieją dane dotyczące bilansu masy jest Daud. Średni bilans masy tego lodowca w okresie 1976-1983 wyniósł –36,0 cm e.w.. Jest to wartość niska w porównaniu z innymi lodowcami.
Ważną rolę odgrywają badania prowadzone na lodowcu Hansa na południowym Spitsbergenie w rejonie Hornsundu (Jania, 1987, 1993; Jania, Kolondra, 1988). Regularne badania bilansu masy tego lodowca rozpoczęto w 1989 roku. Lodowiec uchodzi do morza i znacząco traci masę poprzez cielenie się. Jego bilans masy netto wynosi średnio –24 cm e.w., a po uwzględnieniu zjawiska cielenia się –52 cm e.w.. W latach 1996-2001 bilans masy tego lodowca wyniósł –63 cm e.w.. Linia rocznej równowagi (ELA) średnio znajduje się na wysokości 348 m n.p.m.. Jest to wartość nieco wyższa od średniej dla tego regionu Spitsbergenu (Hagen i in., 1993). W ostatnich latach obserwuje się duży wzrost jego bilansu letniego (Szafraniec, 2002). Dodatkowo w regionie tym okresowo prowadzone są badania bilansu masy lodowca Werenskiolda.
Pewnym uzupełnieniem informacji na temat wielkości składników bilansowych lodowców Spitsbergenu są prace z rejonu Bellsundu. Dane dotyczące lodowca Renarda (33,7 km2) i Scotta (5,8 km2) za rok 1987 i 1990 podaje Bartoszewski (1998).
Ablacja powierzchniowa tych lodowców w sezonie letnim 1990 roku największe rozmiary osiągnęła w strefie czołowej, wynosząc 161 cm e.w. w przypadku lodowca Scotta i 131 cm e.w. dla lodowca Renarda. Ubytek masy śnieżno-lodowej lodowca Scotta w roku 1990 wynosił od 145 cm w strefie czoła (72 m n.p.m.) do 111 cm na polu firnowym (480 m n.p.m.). Ablacja dla całego lodowca Scotta w okresie 22.06.-07.08.1990 roku wyniosła 66,4 cm e.w. (Bartoszewski, 1998).
Szczególnie ważne z punktu widzenia analizy porównawczej z lodowcami Waldemara i Ireny są dane dotyczące poszczególnych elementów bilansowych lodowców regionu Kongsfjordu (rys. 3). Posiadają one najdłuższe serie pomiarowe (Liestol, 1969, 1971, 1972, 1975, 1986, 1988, 1990; Lefauconnier i in., 1999). Jest to obszar położony w linii prostej zaledwie 30-40 km od regionu Kaffioyry. Posiada podobne warunki klimatyczne, a niektóre lodowce posiadają podobne cechy morfometryczne do lodowca Waldemara.

Kongsvegen jest dużym lodowcem o powierzchni 105 km2, długości 27 km, kończącym się w Kongsfjordzie. Ruch lodu jest mniejszy od 4 metrów rocznie, w związku z tym dostawy masy lodu w strefie firnowej nie są tak szybko transportowane do strefy ablacyjnej (Lefauconnier i in., 1999). Średnia akumulacja śniegu na lodowcu w okresie 1987-1995 wyniosła 79 ± 14 cm e.w., a ablacja letnia 73 ± 28 cm e.w. (Jania, Hagen, 1996). Ubytek lodu poprzez cielenie się w okresie ablacji wyniósł średnio 5 cm e.w.. Natomiast w okresie 1987-1997 bilans zimowy tego lodowca wyniósł 82 cm e.w.. W zmienności bilansu masy netto w czasie na uwagę zwraca fakt częstego występowania dodatnich wartości. Średni bilans netto w okresie dziesięciolecia 1987-1997 wyniósł +12 cm e.w., a w okresie 1987-2001 +2 cm e.w.. W okresie 1996-1998 –7 cm e.w, a w okresie 1996-2001, –9 cm e.w..
Takie wartości bilansu masy są wynikiem, między innymi wysoko położonej części akumulacyjnej lodowca, w której zimowa akumulacja śniegu wyraźnie przeważa nad jego letnim topnieniem. Jednak w roku 1998 bilans masy wyniósł –71 cm e.w. Ponadto charakterystyczną cechą tego lodowca jest zjawisko szarży. Okresowe awanse całego systemu Kronebreen-Kongsbreen–Kongsvegen opisuje Liestol (1988, 1990).

Lodowiec Austre Brogger posiada najdłuższą serię pomiarową (od 1967 roku). Jego powierzchnia wynosi 6,1 km2 (Björnson i in., 1996; Jania, Hagen, 1996). Strefa akumulacyjna maksymalnie sięga wysokości 600 m n.p.m., a czoło lodowca schodzi do 40 m n.p.m.. Jest ono zatem bardzo nisko położone, co ma istotny wpływ na wielkość i intensywność procesu ablacji. Pewne znaczenie ma także fakt, że lodowiec Brogger jest zimny, o czym świadczyć może brak odpływu zimowego. Bilans letni do roku 1998 średnio wyniósł –113 cm e.w.. Najmniejszą ablację odnotowano w roku 1987 (60 cm e.w.), a największą w 1974 roku (167 cm e.w.).
Średnia zimowa akumulacja śniegu w tych latach wyniosła 70 cm e.w.. Maksymalna roczna wartość bilansu zimowego wyniosła 98 cm e.w. (rok 1986), natomiast minimalna 37 cm e.w. (rok 1970). W kształtowaniu wielkości bilansu masy tego lodowca główną rolę odgrywa wielkość bilansu letniego, a zimowa akumulacja rolę drugorzędną. Największy ubytek lodu wystąpił w roku 1993 i wyniósł 103 cm e.w.. Tylko w dwóch latach 1987 i 1991 roku odnotowano dodatnie wartości bilansu masy i wyniosły one odpowiednio +22 i +13 cm e.w.. Średni bilans masy lodowca Austre Brogger w okresie 1967-2001 wyniósł –44 cm e.w.. Na podstawie zależności z sumą dodatnich wartości średniej dobowej temperatury powietrza (PDD) w sezonie letnim, Hagen, Liestol (1987) ocenili ubytek masy lodowca Austre Brogge w okresie 1912-1988 na 3435 cm e.w., co stanowi prawie 30 % całkowitej jego masy. Średnia wysokość położenia ELA lodowca Austre Brogger wynosi 402 m n.p.m.. W okresie 1996-2001 bilans masy wyniósł –43 cm e.w. i jest to wartość bardzo zbliżona do lodowca Waldemara.
Badania bilansu masy lodowca Midre Loven rozpoczęto w 1968 roku. Powierzchnia lodowca wynosi 5,5 km2 (Björnson i in., 1996). Lodowiec o długości około 4,8 km i szerokości 1 km spływa w kierunku północnym, kończąc się na wysokości około 50 m n.p.m.. Maksymalna wysokość jego położenia osiąga około 650 m n.p.m.. Lodowiec Loven w części firnowej jest częściowo umiarkowany. Obserwuje się stałe odpływy zimowe z tego lodowca, czego dowodem są występujące na jego przedpolu nalodzia. Ruch lodowca w centralnej części nie przekracza 4-8 m rocznie (Liestol, 1990).
Średnia ablacja tego lodowca w okresie 1968-1997 wyniosła 108 cm e.w.. W sezonie 1995/1996 ablacja była niższa od średniej rocznej z wielolecia o 20 %, a w 1996/1997 stanowiła 91 % jej wartości. Największy ubytek lodu w wyniku ablacji odnotowano w roku 1974 159 cm e.w., a najmniejszy w roku 1968, 51 cm e.w.. Zimowa akumulacja śniegu lodowca Midre Loven w analizowanym czasie wyniosła średnio 74 cm e.w.. Maksymalny bilans zimowy wyniósł 106 cm e.w. (rok 1986), a najmniejszy 36 cm e.w. (rok 1970). Wartości te są zbliżone do wartości akumulacji śniegu na lodowcu Waldemara. Średni bilans masy lodowca Midre Loven w okresie 1968-1998 wyniósł –35 cm e.w., a w okresie 1996-2001 -28 cm e.w.. Lodowiec Midre Loven odznacza się wyraźnie ujemnym bilansem masy. Od początku badań, bilans masy tego lodowca był pozytywny tylko podczas czterech lat bilansowych. Ostatnim rokiem z dodatnim bilansem masy był rok 1996, i wyniósł on +2 cm e.w. (tyle samo, co w przypadku lodowca Waldemara). Linia rocznej równowagi (ELA) na lodowcu Midre Loven zmieniała swoje położenie od 225 m n.p.m. do ponad 650 m n.p.m.. Tylko w roku 1969 i 1993 wystąpiła poza obszarem lodowca. Średnia wysokość jej położenia to 390 m n.p.m., natomiast w latach 1996-2001 znajdowała się średnio na wysokości 372 m n.p.m.. Jest to wartość zbliżona do średniej dla lodowców tej części Spitsbergenu.
Bilans masy lodowców Spitsbergenu odznacza się wyraźnie ujemnym trendem. Przeważają wartości ujemne, jednak w niektórych latach większość lodowców posiadała również bilans dodatni (rys 4). Takim rokiem był 1982, gdzie dodatni bilans posiadały lodowce: Midre Loven, Bogger i Longyear, a inne zrównoważony. Średnio bilans w tym roku wyniósł +1 cm e.w.. Drugim takim rokiem był 1987, w czasie którego pozytywny bilans masy wykazywały wszystkie lodowce regionu Kongsfjordu. Podobna sytuacja wystąpiła w roku 1991 i 1996. Dodatnim bilansem masy w roku 1996 charakteryzował się także lodowiec Waldemara (+2,2 cm ew.). Jedynym lodowcem, który odznaczał się przeważnie dodatnimi wartościami bilansu w całym okresie był Kongsvegen. Średni bilans jego masy w okresie 1987-2001 wyniósł +2 cm e.w.. W ostatnich latach bilans masy lodowców Spitsbergenu ma charakter wyrównany w strefie wartości ujemnych. Największe ujemne wartości wystąpiły w roku 1998 i 2001. W roku 1998 bilans masy lodowca Austre Brogger był o 98 % niższy w stosunku do średniej wartości z wielolecia, jak i do lat 1996-2001. W przypadku lodowca Midre Loven różnice te wyniosły odpowiednio 72 i 108 %. Bilans masy lodowca Waldemara był niższy w roku 1998 o 62 %, w porównaniu ze średnią wartością w tych latach.
Linia rocznej równowagi (ELA) na lodowcach spitsbergeńskich znajduje się na wysokości tylko 200 m n.p.m. w południowo-wschodniej części i wzrasta do 800 m n.p.m. w środkowo-północnej partii archipelagu. Szczegółowe badania położenia linii równowagi prowadzono tylko na czterech lodowcach. Najwyżej znajdowała się na lodowcu Kongsvegen (około 500 m n.p.m.). Średnia wysokość jej położenia dla regionu Kongsfjordu waha się od 300 do 400 m n.p.m.. W cieplejszych latach linia ta może przebiegać poza granicami lodowców.
Średni roczny bilans masy netto lodowca Waldemara i lodowca Ireny zbliżony jest do innych lodowców Spitsbergenu o podobnej powierzchni. Lodowce te charakteryzują się wyraźnie ujemnym bilansem w wieloleciu. Na podstawie metod pośrednich (klimatycznych i kartograficznych), (Sobota, 2000c, 2001) stwierdzono także, że ich czasowa zmienność jest podobna, a lata z dodatnim bilansem pokrywają się. Podobny przebieg ma również pionowa zmienność poszczególnych składowych bilansu z wysokością nad poziomem morza. Zgodności te wynikają z podobnych uwarunkowań lokalnych tych lodowców. Ich powierzchnia, rozciągłość wysokościowa, otoczenie, a także hydrologia mają podobny charakter. Ponadto w przypadki lodowca Waldemara, Ireny i lodowca Midre Loven w porze zimowej obserwuje się wypływy wód, czego dowodem są występujące na ich przedpolach nalodzia.
Aktualnie systematycznymi badaniami bilansu masy na Spitsbergenie objętych jest 6 lodowców: Midre Loven, Austre Brogger, Kongsvegen, Hans, Irena i Waldemar, z czego dwa to lodowce zlokalizowane w rejonie Kaffioyry. Bilans masy netto za 30 ostatnich lat lodowców Austre Brogger i Midre Loven wyniósł odpowiednio –44 i –35 cm e.w.. Średni bilans lodowca Kongsvegen od roku 1987 do 1998 wyniósł +6 cm e.w.. Wartości składowych bilansowych lodowca Waldemara i Ireny są zbliżone do innych lodowców Spitsbergenu, zakończonych na lądzie.
Literatura:
Bartoszewski S., 1998, Reżim odpływu rzek Ziemi Wedel Jarlsberga, Spitsbergen. Wydawnictwo UMCS, Lublin, ss. 167.
Björnsson H., Gjessing Y., Hamran S-E., Hagen J. O., Liestol O., Palsson F., Erlingsson B., 1996, The thermal regime of sub-polar glaciers mapped multi-frequency radio-echo sounding, Journal of Glaciology, 42, (140), 23 –32.
Grześ M., Sobota I., 2000, Winter snow accumulation and discharge from the Waldemar Glacier, northwestern Spitsbergen in 1996-1998. Polish Polar Research, Warszawa, 21(1), 19-32.
Haeberli W., Herren E., Hoelzle M.; eds., 1993, Glacier mass balance bulletin no. 2, World Glacier Monitoring Service,
IAHS(ICSI)/UNEP/UNESCO, ETH Zurich.
Haeberli W., Herren E.; eds., 1991, Glacier mass balance bulletin no. 1, World Glacier Monitoring Service,
IAHS(ICSI)/UNEP/UNESCO , ETH Zurich.
Haeberli W., Hoelzle M., Bösch H.; eds.,1994, Glacier mass balance bulletin no. 3, World Glacier Monitoring Service,
IAHS(ICSI)/UNEP/UNESCO, ETH Zurich.
Haeberli W., Hoelzle M., Frauenfelder R.; eds., 1999, Glacier mass balance bulletin no. 5, World Glacier Monitoring Service,
IAHS(ICSI)/UNEP/UNESCO, University and ETH Zurich.
Haeberli W., Hoelzle M., Frauenfelder R.; eds., 2001, Glacier mass balance bulletin no. 6, World Glacier Monitoring Service,
IAHS(ICSI)/UNEP/UNESCO, University and ETH Zurich.
Haeberli W., Hoelzle M., Frauenfelder R.; eds., 2003, Glacier mass balance bulletin no. 7, World Glacier Monitoring Service,
IAHS(ICSI)/UNEP/UNESCO, University and ETH Zurich.
Haeberli W., Hoelzle M., Suter S.; eds., 1996, Glacier mass balance bulletin no. 4, World Glacier Monitoring Service,
IAHS(ICSI)/UNEP/UNESCO, University and ETH Zurich.
Hagen J. O., Liestol O., Roland E., Jorgensen T., 1993, Glacier Atlas of Svalbard and Jan Mayen, NPI, Meddelelser nr. 129, Oslo, ss.167.
Hagen J.O. i Liestol O., 1987, Glacier mass balance investigations in the balance years 1984-85 and 1985-86. Pol. Research 5, 261-265.
Hisdal V., 1998, Geography of Svalbard, Norsk Polarinstitutt, Oslo, ss. 123.
Jania J., 1987, Interpretacja glacjologiczna zdjęć lotniczych otoczenia Hornsundu (Spitsbergen) na przykładzie lodowców
Körber i Peters, Fotointerpretacja w geografii, IX (19), Uniw. Śląski, Katowice, 60-107.
Jania J., 1988, Klasyfikacja i cechy morfometryczne lodowców otoczenia Hornsundu, Spitsbergen, [w:] Wyprawy Polarne Uniwersytetu Sląskiego 1980-1984, Prace Naukowe UŚ w Katowicach, 910, 12-47.
Jania J., Hagen J. O., 1996, Mass balance of Arctic Glaciers, IASC, University of Silesia, Sosnowiec-Oslo, ss. 62.
Jania J., Kolondra L., 1988, Fotogrametryczne kartowanie szczegółowe czołowej części lodowca Werenskiold w 1982 i 1983 roku [w:] Wyprawy Polarne Uniwersytetu Sląskiego 1980-1984, Prace Naukowe UŚ w Katowicach nr. 910, 123-141.
Kotlyakov W. M., 1994, Mir sniega i lda, Nauka, Moskva, ss. 283.
Lankauf, K. R., 2002, Recesja lodowców rejonu Kaffioyry (Ziemi Oskara II-Spitsbergen) w XX wieku. Prace Geograficzne IG i PZPAN, 183, Warszawa.
Lefauconnier B. I., Hagen J. O., Orbeak J. O., Melvold K., Isaksson E., 1999, Glacier balance trends in the Kongsfjorden area, western Spitsbergen, Svalbard, in realtion to the climate., Polar Research 18(2), 307-313.
Liestol O., 1969, Glacier surges in West Spitsbergen, Can. J. of Earth Sci., 6(4) 895-879.
Liestol O., 1971, Glaciological work in 1969, Nor.Polarinst.- Arbok 1969, Oslo, 116- 128.
Liestol O., 1972, Glaciological work in 1970, Nor.Polarinst.- Arbok 1970, Oslo, 240- 251.
Liestol O., 1975, Glaciological work in 1973, Nor. Polarinst.- Arbok 1973, Oslo, 181- 192.
Liestol O., 1986, Glaciological investigations in the balance year 1983 - 84, Polar Research 4, n.s., 97-101.
Liestol O., 1988, The glaciers in the Kongsfjorden area, Spitsbergen, Norsk geogr. Tidsskr. Vol. 42, 231-238.
Liestol O., 1990, Glaciers in the Kongsfjorden area, Nor. Polarinst.- Arbok 1989, Oslo, 51-61.
Meier M. F., Tangborn W. V., Mayo L. R., Post A., 1971, Combined ice and water balances of Gulkana and Wolverine Glacier, Alaska, and South Cascade Glacier, Washington, 1965 and 1966 hydrologic years: U.S. Geological Survey Professional Paper 715-A, ss. 23.
Ostrem G., Brugman M., 1991, Glacier mass-balance measurements: a manual for field and office work: National Hydrology Research Institute Science Report No. 4, ss. 224.
Piasecki J., 1988, Problemy akumulacji pokrywy śnieżnej na lodowcach południowego Bellsundu (Zachodni Spitsbergen), Wyprawy Geograficzne Uniwersytetu Marii Curie-Skłodowskiej na Spitsbergen 1986-1988. UMCS, Lublin, 65-76.
Sobota I., 1998, Ablacja i odpływ z lodowca Waldemara w sezonie letnim 1997. [in] Relief, Quaternary Paleogeography and Changes of the Polar Environment Polar Session. Spitsbergen Geographical Expeditions., UMCS, Lublin,149-168.
Sobota I., 1999, Ablation of Waldemar Glacier in summer seasons of 1996, 1997 and 1998. Polish Polar Studies, XXVI Polar Symposium, Lublin, 257-274.
Sobota I., 2000a, Ablation and discharge of the Waldemar Glacier, north-western Spitsbergen, in summer 1998. Polish Polar Research, Warszawa, 21(1), 3-18.
Sobota I., 2000b, Mass balance of the world glaciers. Polish Polar Studies, XXVII Polar Symposium, Toruń, 387-388.
Sobota I., 2000c, Selected cartographic and remote sensing methods in the estimation of mass balance and volume changes of the Waldemar Glacier. Polish Polar Studies, XXVII Polar Symposium, Toruń, 385-386.
Sobota I., 2001, Studia nad bilansem masy lodowca Waldemara na tle lodowców Svalbardu, M-pis rozprawy doktorskiej. IG UMK, Toruń, ss. 219.
Sobota I., 2002a, Ablacja lodowca Waldemara i lodowca Ireny (NW Spitsbergen) w sezonie letnim 2001 roku. [w:] Funkcjonowanie i monitoring geoekosystemów obszarów polarnych, Materiały konferencyjne XXVIII MSP, Poznań, 84-87.
Sobota I., 2002b, Bilans masy lodowca Waldemara w latach 1996-2001. [w] Funkcjonowanie i monitoring geoekosystemów obszarów polarnych, Materiały konferencyjne XXVIII MSP, Poznań, 87-90.
Sobota I., 2003a, Struktura bilansu masy lodowca Waldemara na tle lodowców Svalbardu w latach 1996-2002. [w] The Functioning of Polar Ecosystems as Viewed Against Global Environmental Changes, Kraków, 259-262.
Sobota I., 2003b, Bilans masy lodowca Waldemara i lodowca Ireny (NW Spitsbergen) w 2002 roku.. [w] The Functioning of Polar Ecosystems as Viewed Against Global Environmental Changes, Kraków, 251-254.
Szafraniec J., 2002, Influence of positive degree-days and sunshine duration on the surface ablation of Hansbreen glacier, Spitsbergen, Polish Polar Research, 23 (3-4), 227-240.